Упр.597 ГДЗ Макарычев Миндюк 8 класс (Алгебра)
Решение #1
Решение #2
Решение #3

Рассмотрим вариант решения задания из учебника Макарычев, Миндюк, Нешков 8 класс, Просвещение:
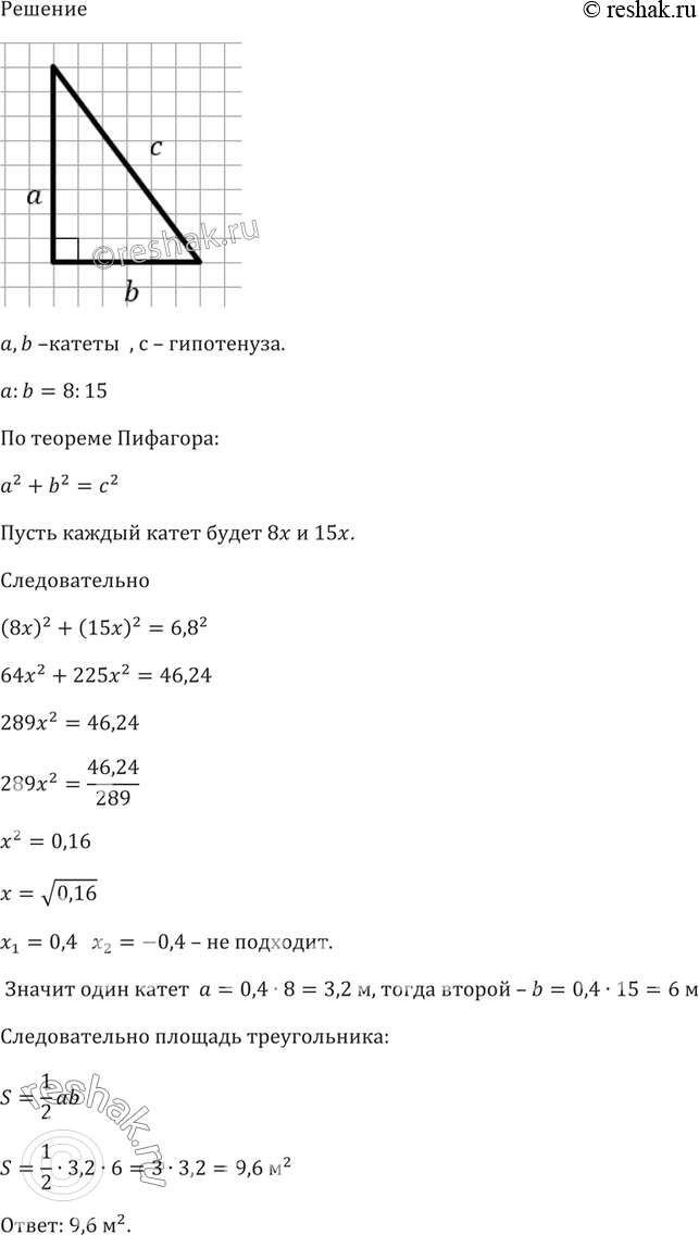
597. Катеты прямоугольного треугольника относятся как 8 : 15, а гипотенуза равна 6,8 м. Найдите площадь треугольника.
*размещая тексты в комментариях ниже, вы автоматически соглашаетесь с пользовательским соглашением